2124-57-4/V-044-1ML Vitamin K2 (MK-7)/维生素K2标准溶液/MK-7标准溶液
100 ug/mL in Acetonitrile | Certified Reference Material/V-044-1ML
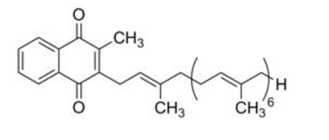
Vitamin K2 (MK-7), also known as menaquinone-7, is a homolog of Vitamin K2. Reports suggest that supplementation of Vitamin K2 (MK-7) can improve bone strength and prevent bone loss. This Certified Spiking Solution® is suitable for use as starting material in the preparation of linearity standards, calibrators, or controls in LC-MS/MS vitamin K2 testing applications such as assessment of vitamin K2 deficiency and detection and quantification of vitamin K2 in food or nutritional products.Vitamin K2 (MK-7)
维生素K2(MK-7),也称为甲萘醌-7,是维生素K2的同源物。报告表明,补充维生素K2(MK-7)可以提高骨强度,防止骨质流失。这种经过认证的加标溶液®适用于LC-MS/MS维生素K2测试应用中线性标准品、校准品或对照品的制备,如维生素K2缺乏的评估以及食品或营养产品中维生素K2的检测和定量。/维生素K2标准溶液/MK-7标准溶液

Concentration: 100 ug/mL 100 微克/毫升
Solvent: Acetonitrile 乙腈
Unit Size: 1 mL/ampoule 1毫升/安瓿
CAS Number: 2124-57-4
Chemical Formula: C46H64O2
Molecular Weight: 649
部分相关产品如下,更多相关产品的详细信息,请来电咨询,供实验室使用!
RelatedProducts
V-020 / V-020-1ML (±)-α-Tocopherol (Vitamin E), 1.0 mg/mL
V-021 / V-021-1ML (+)-γ-Tocopherol (Vitamin E), 1.0 mg/mL
V-030 / V-030-1ML Vitamin K1, 10 µg/mL
V-031 / V-031-1ML Vitamin K2 (MK-4), 100 µg/mL
V-033 / V-033-1ML Tocopheryl acetate (Vitamin E acetate), 1.0 mg/mL
