CRM-dcGTX2&3-d脱氨甲酰基膝沟藻毒素-2和-3认证校准溶液计量溯源性
本证书中提供的结果可追溯到SI(Système international d’unités),通过重量法制备的咖啡因CRM标准品(NMIA M724c)和dcGTX2和3的CRM(NRC CRM-dcGTX2&3-c)。

脱氨甲酰基膝沟藻毒素-2和-3认证校准溶液质量管理体系(ISO 17034、ISO/IEC 17025)
该材料是根据加拿大国家研究委员会(NRC)计量质量管理体系生产的,该体系符合ISO 17034和ISO/IEC 17025的要求。
支持NRC校准和测量能力的计量质量管理系统,如国际计量局(BIPM)关键比较数据库所列(http://kcdb.bipm.org/),已在美洲计量系统(SIM)的授权下进行审查和批准,符合国际计量委员会(CIPM)相互承认安排的期望。SIM认证可应要求提供。
CRM-dcGTX2&3-d的制备
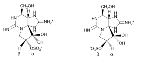
从亚历山大藻的实验室培养物中分离出N-磺基氨基甲酰基gonyautoxin-2和-3(C1&2),化学转化为dcGTX2和dcGTX3,然后通过几个色谱步骤纯化[3]。dcGTX2和3的结构和纯度通过LC-MS/MS[4](图1和图2)和1H NMR进行了确认。使用LC高分辨率MS(LC-HRMS)对dcGTX2和dcGTX3的[m+H]+离子获得了353.0873的测量准确m/z(C9H17N6O7S+∆=0.3 ppm)。通过LC-ox-FLD[5](图3)、紫外毛细管电泳(CE-UV)和化学发光氮检测(LC-CLND)[6]进一步评估纯度。
通过在去离子水中稀释纯化的dcGTX2和3以进行定量来制备储备溶液。通过在脱气的0.5mM HCl(pH 3.5)中准确稀释储备溶液来制备CRM-dcGTX2&3-d溶液。将等分试样分配到充满氩气的琥珀色玻璃安瓿中,并立即进行火焰密封。每个安瓿含有大约0.5毫升溶液。
我司专注于标准品/对照品及实验室耗材等产品的销售和服务。欢迎咨询订购。
一、本公司仅提供NRC标准品代理采购业务。
二、本公司承诺所采购产品来自NRC。
三、本公司保证全程采用NRC要求的运输条件进行产品运输。
四、本公司对所委托进口的NRC标准品不做任何担保,如遇质量问题,本公司可协助客户与NRC进行协商处理售后问题。
